
L'installation comprend un transformateur TR, un disjoncteur principal QP, un câble C, un disjoncteur départ moteur Q1. Il s'agit de déterminer le pouvoir de coupure des disjoncteurs QP et Q1.
Un court-circuit triphasé en aval de Q1 est limité par l'impédance du réseau en amont du transformateur ZA, l'impédance du transformateur ZTR et l'impédance du câble ZC.
On obtient pour une phase, le schéma équivalent suivant:
Il s'agit de déterminer les éléments RA, RTR, RC, XA, XTR, XC, de façon à calculer le courant de court-circuit. Attention: l'impédance totale n'est pas égale à la somme algébrique des impédances, ces grandeurs étant des grandeurs complexes. Il faut donc additionner séparément les résistances et les réactances jusqu'au point de court-circuit, puis déterminer l'impédance totale.
DONNEES
Réseau amont
(valeurs ramenées au secondaire du transformateur)
RA = 0
XA = 0,7 m![]()
Transformateur
Puissance: S = 400 kVA
Pertes cuivre: PCU = 4600 W
Tension réduite de court-circuit: UCC(%) = 4%
Tension secondaire à vide: U20 = 410V
Câble cuivre
Longueur: L = 25 m
Section: s = 240 mm2
Résistivité du cuivre: r = 22,5 m
. mm2 . m-1
Réactance linéique: 0,13 m
. m-1
CALCULS
Transformateur
Il s'agit de déterminer les valeurs ramenées au secondaire de la résistance RTR et de la réactance XTR du transformateur.
La puissance plaquée sur le transformateur est:
![]()
Les pertes cuivre sont:
![]()
La tension réduite de court-circuit UCC est la valeur de U20 qui donne le courant nominal IN lorsque la sortie est en court-circuit. Elle s'exprime en % de U20.
![]()
![]()
Câble
Résistance ![]()
Réactance ![]()
Court-circuit en aval de QP

Le pouvoir de coupure de QP doit être supérieur à 13,5 kA
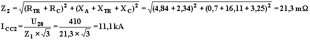
Court-circuit en aval de Q1

Le pouvoir de coupure de Q1 doit être supérieur à 11,1 kA
Télécharger le cahier technique n°158 Calcul des courants de court-circuit
Voir la note détaillée de Jean-Marie Beaussy